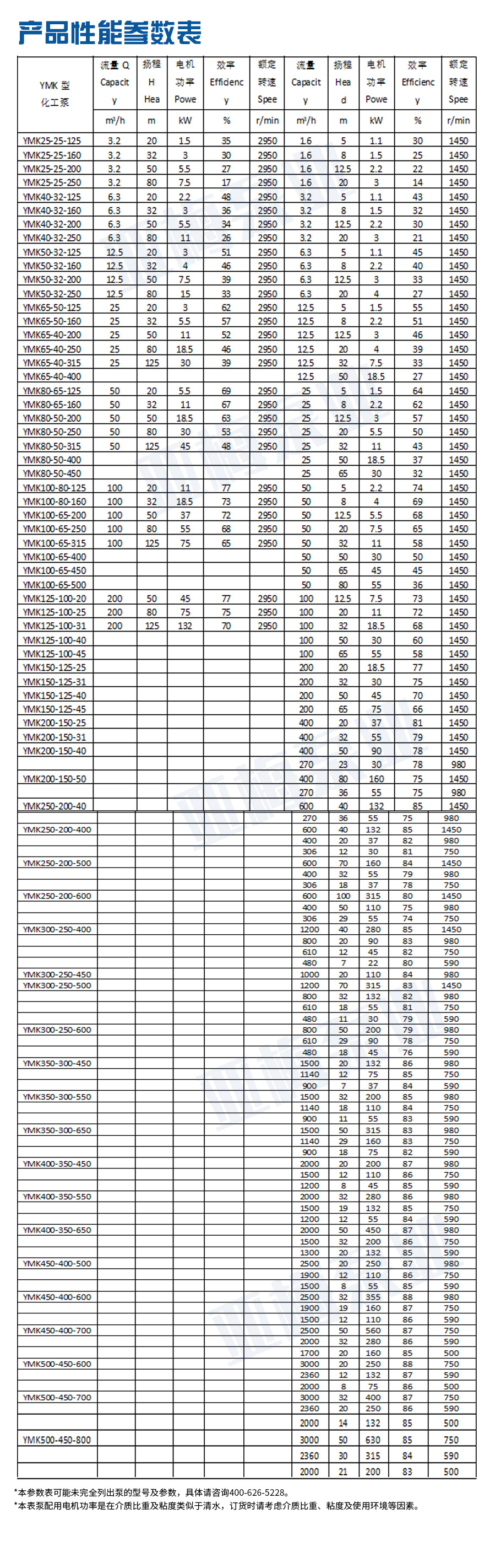
YMK系列高效節能無堵塞化工泵是在IH型化工泵的基礎上改進而成的,在密封結構上引進了國外先進技術,改變了IH泵只能輸送物理性質類似水的介質(無雜質和顆粒)的弊端,由于密封技術先進、科學,該泵可輸送含固量高達35%以下的物料;在正常情況下連續工作8000小時無泄漏,是IH泵密封效果的3-5倍,又因葉輪為開式結構,所以不會因介質含固量高而堵塞,該泵是目前化工行業輸送各種物料的理想的先進設備。





電話
銷售部:
0523-84321059王先生:
13901425648王先生:
18351163118蔣女士:
19825546885(泵配件專線)郵 箱:
yamei166@163.com